Διαγώνισμα
Α' ΛΥΚΕΙΟΥ ΑΛΓΕΒΡΑ
Όνομα
*
Επώνυμο
*
Κωδικός
*
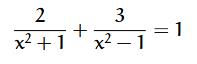
Άσκηση 1
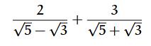
1.
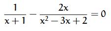
2.
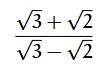
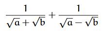
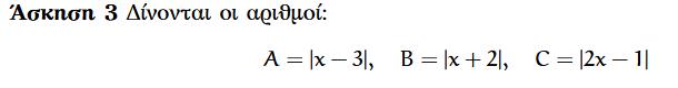
3.